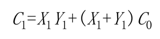
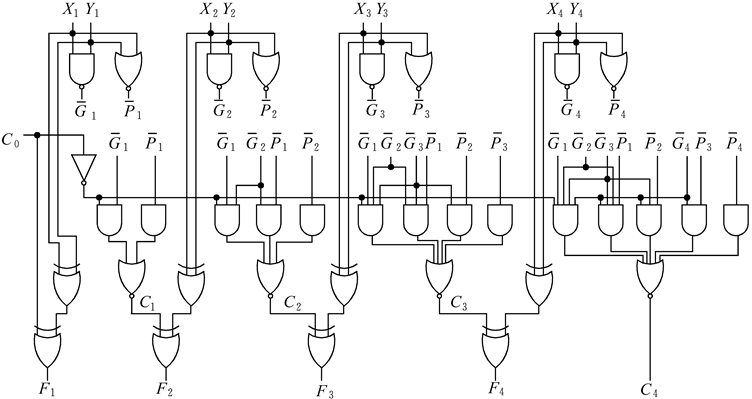
超前进位产生电路(重要)
只要满足下述两条件中任一个,就可形成C1:
- X1,Y1均为“1”;
- X1,Y1任一为“1”,且进位C0为“1”。
由此,可得C1的表达式为:

只要满足下述条件中任一个,就可形成C2:
- X2,Y2均为“1”;
- X2,Y2任一为“1”,且X1,Y1均为“1”;
- X2,Y2任一为“1”,同时X1,Y1任一为“1”,且C0为“1”。
由此,可得C2的表达式为:

同理,可有C3,C4表达式如下:

下面引入进位传递函数Pi和进位产生函数Gi:

- Pi的意义是:当Xi,Yi中有一个为“1”时,若有进位输入,则本位向高位传送进位,这个进位可看成是低位进位越过本位直接向高位传递的
- Gi的意义是:当Xi,Yi均为“1”时,不管有无进位输入,定会产生向高位的进位
将Pi、Gi代入C1~C4,可得:

改写为:


数制
- 二进制数 <=> 八进制数:3位二进制数组成1位八进制数
- 二进制数 <=> 十六进制数:4位二进制数组成1位十六进制数
- 兼有整数和小数部分的数:对整数部分将0补在数的左侧,对小数部分将0补在数的右侧
- 八进制数 <=> 十六进制数:用二进制数作为中间媒介
- 二进制数 => 十进制数:

- 十进制数 => 二进制数:
- 整数部分:除2取余数法(到商为零,倒序排列)
- 小数部分:乘2取整数法(到小数为零或达精度,正序排列)
- 既有整数部分,又有小数部分:分别转换后拼接
机器数
假设机器数为小数,符号位在最左面,小数点在符号位和数值之间,数的真值用X表示。
原码

反码

补码

整数的表示形式

加减法溢出判断
- 结果的符号位变为相反时才溢出:

- 数值最高位进位和符号位进位不同才溢出:

- 双符号位(“变形补码”):00表示结果为正,11表示结果为负;01表示“上溢”,10表示“下溢”
移码

浮点数
浮点数:指小数点位置可浮动的数据
N是浮点数,M为尾数,E为阶码,R为阶的基数(底)

规格化浮点数
为了保证数据精度,需要对其进行规格化。
当R=2,尾数不为0时,绝对值应大于或等于0.5(十进制数)
即规格化后的浮点数具有形式:
若表示为补码则为:
IEEE 754标准
- 单精度浮点数(32位):阶码8位,尾数24位(1位符号位)
- 双精度浮点数(64位):阶码11位,尾数53位(1位符号位)
- 阶码采用移码,尾数采用原码
- 规格化原码尾数的整数部分恒为1,在尾数中不出现,计算时自动添加上去

数值范围和精度

定点整数范围
设机器字长 n+1 位,其中符号位1位。
- 原码机器表示范围:111…1 ~ 011…1
- 最大正数:
- 非零最小正数:1
- 绝对值最大的负数:
- 最大正数:
- 补码机器表示范围:100…0 ~ 011…1
- 最大正数:
- 最小正数:1
- 绝对值最大的负数:100…0
- 最大正数:
定点小数范围
设机器字长 n+1 位,其中符号位1位。
- 原码机器表示范围:1.11…1 ~ 0.11…1
- 最大正数:0.11…1
- 非零最小正数:0.00…1
- 绝对值最大负数:1.11…1
- 最大正数:0.11…1
- 补码机器表示范围:100…0 ~ 011…1
- 最大正数:0.11…1
- 非零最小正数:0.00…1
- 绝对值最大负数:1.00…0 = -1
- 最大正数:0.11…1
浮点数范围
设机器字长 m+n+2 位,阶码 m+1 位,其中阶符1位;尾数 n+1 位,其中数符1位(阶码基数为2),若阶码和尾数均用补码表示,说明在尾数规格化和不规格化两种情况下,它所能表示的最大正数,非零最小正数,绝对值最大的的负数,绝对值最小的负数各是哪几个数?写出机器数,并给出十进制值(不采用隐藏位)。若阶码用移码,尾数仍用补码,上述各值有变化吗?若有变化,请列出。
补码规格化
-
最大正数:阶码 011…1(m+1 位) ,尾数 0.11…1(n+1 位),真值
-
非零最小正数:阶码 100…0(m+1 位) ,尾数 0.10…0(n+1 位),真值
-
绝对值最小负数:阶码 100…0(m+1 位) ,尾数 1.01…1(n+1 位),真值
-
绝对值最大负数:阶码 011…1(m+1 位) ,尾数 1.00…0(n+1 位),真值
补码非规格化
- 最大正数:阶码 011…1(m+1 位) ,尾数 0.11…1(n+1 位),真值
- 非零最小正数:阶码 100…0(m+1 位) ,尾数 0.00…1(n+1 位),真值
- 绝对值最小负数:阶码 100…0(m+1 位) ,尾数 1.11…1(n+1 位),真值
- 绝对值最大负数:阶码 011…1(m+1 位) ,尾数 1.00…0(n+1 位),真值
阶码用移码,尾数仍用补码
-
若不考虑溢出,上述各值无变化,只是阶码符号位取反。
-
若考虑到下溢处理,若阶码
按下溢处理成机器零。故非零最小正数和绝对值最小负数如下表所示:
| 值 | 规格化 | 非规格化 |
|---|---|---|
| 非零最小正数 | ||
| 绝对值最小负数 |
浮点数精度问题
浮点数精度 x 取决于尾数中数值位的个数 n,计算公式为:
定点数乘法(重要)
定点原码一位乘法
- 求得一个相加数,就与上次部分积相加
- 求本次部分积时,前一次部分积 >> 一位,同时乘数寄存器 >> 一位,接受部分积移出的位数

定点补码一位乘法
- 当乘数Y为正时,定点补码一位乘法的运算过程与定点原码一位乘法相同。
- 当乘数Y为负时,还需要补充进行加[-X]补操作。
例:设X=-0.1101,Y=0.1011,求[X·Y]补,要求写出定点补码一位乘法的机器实现过程。

布斯一位乘法规则


定点数两位乘法
两位乘数有4种可能组合,对应以下操作:
- 00——相当于0•X,部分积为Pi +0,然后右移两位;
- 01——相当于1•X,部分积为Pi+X,然后右移两位;
- 10——相当于2•X,部分积为Pi+2X,然后右移两位;
- 11——相当于3•X,部分积为Pi+3X,用 (Pi - X)+4X 来替代:本次-X,然后右移两位,下次+X,不再移位。使用触发器C记录是否有欠位
- 如果最后一次操作欠下+4X,则最后一次右移2位后还需补充+X操作,+X后不再移位。

浮点数运算
加减法(重要)

- 对阶:dE=|Ex-Ey|;小阶向大阶看齐。(保留大阶)
- 尾数的加(减)运算。
- 规格化处理
- 如果结果的两个符号位的值不同,表示运算尾数结果溢出,应“右规”,即尾数结果右移一位,阶码+1。
- 如果最高数值位与符号位相同(不满足规格化要求),应“左规”,此时尾数连续左移,直到最高数值位与符号位的值不同为止;同时从阶码中减去移位的位数。
- 舍入处理。0舍1入法
- 检查是否溢出。
- 阶码下溢:置机器零
- 阶码上溢:置上溢标志

乘法
- 检测操作数是否为0,若其中有一个操作数为0,则置结果为0;
- 阶码相加,阶符相同的加可能会溢出,若溢出,则作溢出处理;
- 尾数相乘;
- 尾数乘积规格化,只有左规;
- 舍入
- 截断处理:无条件地丢掉正常尾数最低位之后的全部数值
- 舍入处理:运算过程中保留右移中移出的若干高位的值,然而再按某种规则(0舍1入法)用这些位上的值修正尾数
- 判溢出
奇偶校验码
通过在数据位中加入一些冗余位,从而达到在数据传输过程中能自动发现错误(检错码)和校正错误(纠错码)
编码方法:
- 不管数据位长度多少,校验位只有一位。
- 数据位和校验位一起所含“1”的个数,只能是奇数,称为奇校验。
- 数据位和校验位一起所含“1”的个数,只能是偶数,称为偶校验。
只能发现一位错(或奇数个位错),不能确定是哪一位错,也不能发现偶数个位错。
